Dynasty tietopalvelu
Vihdin kunta RSS Haku

RSS-linkki

Kokousasiat:
https://vihti.oncloudos.com:443/cgi/DREQUEST.PHP?page=rss/meetingitems&show=30

Kokoukset:
https://vihti.oncloudos.com:443/cgi/DREQUEST.PHP?page=rss/meetingitems&show=30?page=rss/meetings&show=30

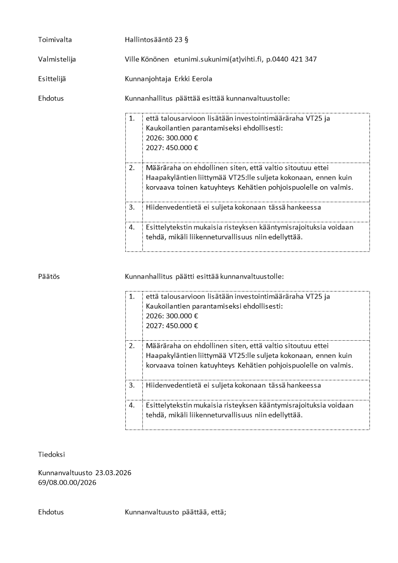
Kunnanvaltuusto
Pöytäkirja 23.03.2026/Pykälä 20