Dynasty tietopalvelu Haku RSS Vihdin kunta

RSS-linkki

Kokousasiat:
https://vihti.oncloudos.com:443/cgi/DREQUEST.PHP?page=rss/meetingitems&show=30

Kokoukset:
https://vihti.oncloudos.com:443/cgi/DREQUEST.PHP?page=rss/meetings&show=30

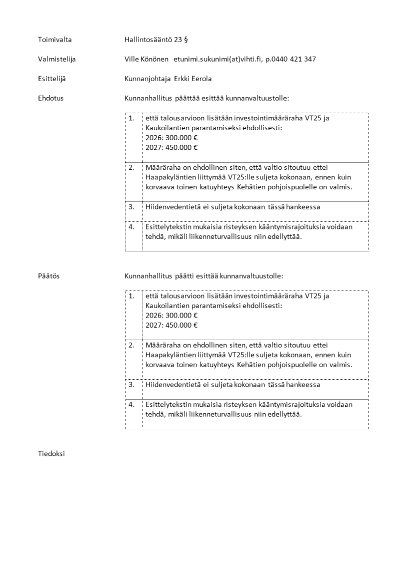
Kunnanhallitus
Esityslista 09.03.2026/Asianro 63


Liite 2 Käyttösuunnitelmat 2026