Dynasty tietopalvelu Haku RSS Vihdin kunta

RSS-linkki

Kokousasiat:
https://vihti.oncloudos.com:443/cgi/DREQUEST.PHP?page=rss/meetingitems&show=30

Kokoukset:
https://vihti.oncloudos.com:443/cgi/DREQUEST.PHP?page=rss/meetings&show=30

Kunnanhallitus
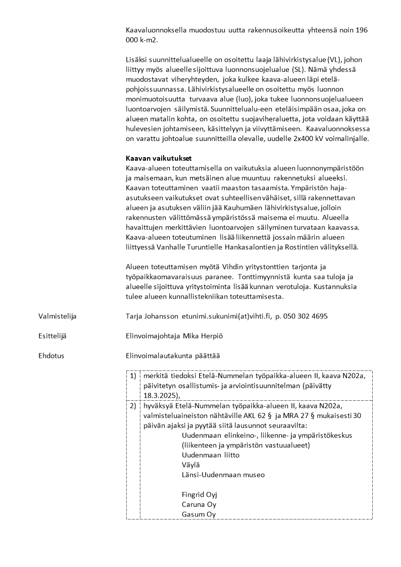
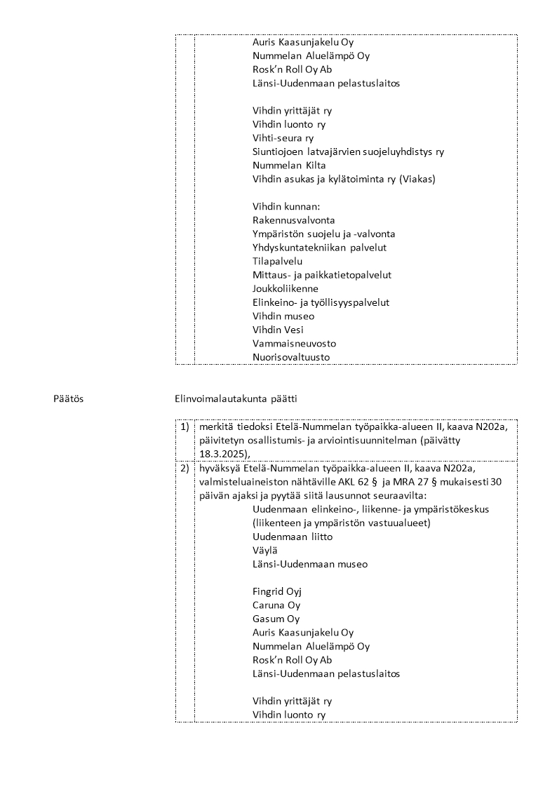
Esityslista 23.02.2026/Asianro 39


Liite 1 N202a Vastineraportti
N202a Kaavakartta ja -määräykset
N202a Kaavaselostus
Oheismateriaali: N202a Selvitykset