RSS-linkki
Kokousasiat:https://vihti.oncloudos.com:443/cgi/DREQUEST.PHP?page=rss/meetingitems&show=30
Kokoukset:
https://vihti.oncloudos.com:443/cgi/DREQUEST.PHP?page=rss/meetings&show=30
Kunnanhallitus
Esityslista 20.10.2025/Asianro 286
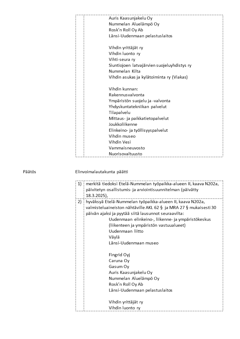
Edellinen asia | Seuraava asia | ![]() |
![]() |
Liite 3 | N202a Kaavaehdotuskartta |
![]() |
Liite 4 | N202a Kaavamääräykset |
![]() |
Liite 5 | N202a Kaavaehdotuksen selostus |
![]() |
Liite 6 | N202a Selostuksen liitteet |
Edellinen asia | Seuraava asia | ![]() |