RSS-linkki
Kokousasiat:https://vihti.oncloudos.com:443/cgi/DREQUEST.PHP?page=rss/meetingitems&show=30
Kokoukset:
https://vihti.oncloudos.com:443/cgi/DREQUEST.PHP?page=rss/meetings&show=30
Kunnanhallitus
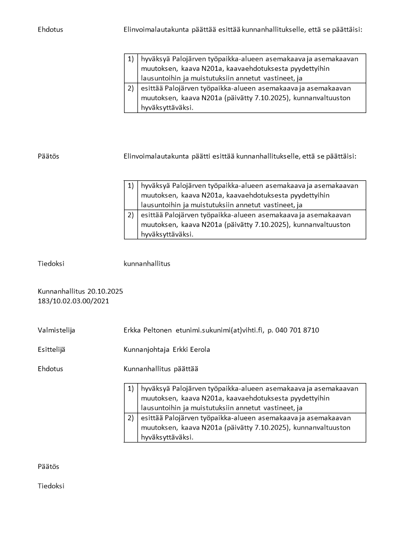
Esityslista 20.10.2025/Asianro 285
Edellinen asia | Seuraava asia | ![]() |
![]() |
Liite 1 | N201a kaavaselostus liitteineen (päivätty 7.10.2025, sisältää palauteraportin) |
![]() |
Liite 2 | N201a kaavakartta (päivätty 7.10.2025) |
Edellinen asia | Seuraava asia | ![]() |